Basi di ottica
I principi base dell'ottica spiegati punto per punto - Parte Seconda
Le lenti
Una lente convergente sfrutta la rifrazione per convogliare i raggi provenienti da un punto oggetto in un altro punto detto fuoco. Le superfici sono opportunamente sagomate, solitamente in
forma sferica, per raggiungere questo scopo. Il risultato è la creazione di una immagine i cui punti corrispondono ai punti dell'oggetto osservato.
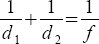
L'immagine può essere osservata su uno schermo posto sul suo piano, oppure raccolta con una pellicola o anche osservata ad occhio nudo. Se l'oggetto si trova all'infinito, come nel caso di un oggetto astronomico, la distanza tra la lente e l'immagine (d2) è pari alla lunghezza focale. Altrimenti vale la formula:
 |
 |
| Lente convergente |
Lente divergente |
Gli specchi
Uno specchio è formato da un substrato di vetro o altro materiale su cui viene depositato un sottile
strato di alluminio seguito da altre sostanze per incrementarne la resistenza o la riflettività. Lo
specchio più semplice è quello sferico, tuttavia lo specchio sferico usato per osservare oggetti a
grande distanza presenta il difetto detto aberrazione sferica, perché i raggi riflessi nelle zone
periferiche dello specchio vengono focalizzati più vicino rispetto a quelli riflessi nelle zone centrali.
 |
 |
| Specchio sferico |
Specchio parabolico |
La forma corretta per uno specchio astronomico è quella del paraboloide, nel qual
caso lo specchio viene detto parabolico. Altrimenti l'aberrazione sferica può essere corretta
utilizzando un sistema più complesso di specchi o di specchi e lenti, in cui l'aberrazione introdotta
da un componente viene corretta dagli altri.
Come per una lente, anche per uno specchio viene definita una lunghezza focale che corrisponde
alla distanza tra il centro dello specchio e il fuoco. La differenza è che l'immagine si dalla parte
opposta rispetto alla lente, e quindi davanti per uno specchio convergente. Questo comporta qualche
piccola complicazione...
|